A lo largo de nuestra vida habremos escuchado un montón de veces eso de que «somos lo que comemos». Por supuesto, es cierto, y hay numerosas evidencias científicas que así lo confirman. Pero este post no es para hablar de nutrición, si no para hablar de la relación entre la dieta y la evolución del cerebro a lo largo de la evolución humana. La evolución humana, este tema tan interesante en el que tenemos más preguntas que respuestas. Podríamos situarnos hace unos 7 millones de años y nos encontraríamos con esos primeros representantes de nuestro linaje evolutivo. De nuestra familia (no en términos taxonómicos, claro), dirían algunos. Y, sin embargo, si nos fijásemos en su cerebro, veríamos que no tiene mucho que ver con el nuestro, por lo menos en lo que a tamaño se refiere. ⚠ ¡Cuidado! ⚠ Cuando hablamos de tamaño del cerebro, no estamos hablando directamente de inteligencia. Dicho esto, vamos a recorrer el camino de la evolución humana para averiguar cómo hemos llegado a tener el cerebro que tenemos hoy en día.

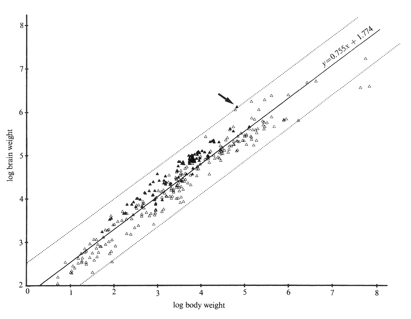
Antes que nada, vamos a definir unos términos tal vez un poco complejos pero que nos ayudarán a comprender mejor todo este proceso. El primero: cociente de encefalización (EQ por sus siglas en inglés: Encephalization Quotient). Básicamente es la relación que hay entre el tamaño del cerebro y el tamaño del cuerpo de un animal. Este cociente se ha calculado en muchas especies animales, la humana incluida, y se ha trazado una recta de regresión. Echando un primer vistazo a esta recta ya vemos que estamos en valores relativamente altos, lo que significa que tenemos un cerebro más grande de lo que nos corresponde por tamaño corporal. Llegados a este punto seguro que tendemos a preguntarnos «¿por qué?», ¿por qué tenemos un cerebro tan grande? Y aquí hemos caído en la trampa, porque la evolución no tiene un objetivo, no tiene un plan ni un destino. Se trata de mutaciones que se dan al azar y, si resultan favorables para la supervivencia, se quedan y se transmiten de una generación a otra. Así que, en lugar de preguntarnos por qué, vamos a preguntarnos «¿cómo?». ¿Cómo hemos llegado a tener un cerebro tan grande?

Aquí viene el segundo concepto para ayudarnos a resolver este misterio: la hipótesis del tejido caro (ETH por sus siglas en inglés: expensive tissue hypothesis). Esta hipótesis sugiere que la energía necesaria para aumentar el tamaño del cerebro procede de la reducción de otros tejidos. Es decir, el cerebro es un órgano muy caro de mantener, ya que simplemente por el hecho de estar funcionando consume en torno al 20% de nuestra energía. Y eso es solo para hacer las reacciones básicas que mantienen el cerebro vivo, si hacemos alguna tarea más compleja, ese porcentaje aumenta. Así que, cuanto más grande sea el cerebro, más energía vamos a necesitar. Es como si la evolución nos dijera: «mira, si quieres un cerebro más grande vas a tener que quitar energía de otro órgano, porque para todo no te llega, y entonces ese otro órgano se hará más pequeño».

Hubo un momento en la evolución (momento que realmente son miles de años) en el que el tamaño del cerebro de las especies humanas era relativamente pequeño en proporción con su cuerpo. Esas especies humanas tenían una alimentación prácticamente herbívora, con lo cual su aparato digestivo era largo y complejo (el aparato digestivo no fosiliza, pero lo deducimos fijándonos en herbívoros actuales), y gran parte de la energía que consumían se invertía en la digestión. Hace 2,6 millones de años (medio millón arriba, medio millón abajo) en la especie Homo habilis encontramos evidencias del consumo de carne además del consumo de vegetales, era una especie omnívora, como nosotros. ¿Y qué pasa? Que la carne, aunque sea cruda, requiere menos energía para su digestión que los vegetales, así que los Homo habilis tenían un «extra de energía». Además, como poco a poco el aparato digestivo se fue haciendo más pequeño, esa disminución supuso un ahorro energético. Las especies humanas que aparecieron después también eran omnívoras, consiguiendo de nuevo ese «extra». De esta forma, a lo largo de los miles de años, el aparato digestivo se hace cada vez más pequeño y menos complejo. Y, la energía que sobra, se ha ido invirtiendo en el crecimiento del cerebro, porque digamos que «nos lo podíamos permitir». Así es cómo hemos llegado hasta el día de hoy, alcanzando una capacidad craneal media de 1200 centímetros cúbicos.

Por supuesto, todos estos cambios son graduales y lentos, imposibles de ver en lo que dura una vida humana. Para finalizar este artículo diremos que, aunque tengamos un cerebro grande, no nos confiemos, que lo que cuenta es el número de conexiones entre neuronas. Así que, ¡a entrenar el cerebro!
Referencias bibliográficas:
-Aiello, L. C., & Wheeler, P. (1995). The expensive-tissue hypothesis: the brain and the digestive system in human and primate evolution. Current anthropology, 36(2), 199-221.
-Martin, R. D. (1981). Relative brain size and basal metabolic rate in terrestrial vertebrates. Nature, 293(5827), 57-60.
-Mateos Cachorro, A., & Rodríguez, J. (2010). La dieta que nos hizo humanos.
Comentarios